动物研究所张知彬团队发现:植物激素可调控森林种子萌发与鼠类贮藏行为之间的互作
在自然界,鼠类与森林种子之间存在复杂协同进化关系。鼠类取食种子,以满足食物需求,同时鼠类也帮助森林种子扩散(形成互惠关系),实现森林更新。为逃避鼠类捕食,森林种子进化出一系列防御性状,如物理防御(如刺、硬种皮)、化学防御(高单宁含量)、快速萌发以及再生或种子克隆能力等。面对种子的反捕食防御策略,鼠类的性状也会进一步进化,比如具有坚固而锋利的牙齿以打开坚硬的种皮,利用肠道微生物分解有毒物质,或切除胚根或去除胚或子叶以阻止或延缓种子萌发等。二者在吃与被吃之间展开了形形色色的军备竞赛,于此同时也促进了互惠关系的形成。
森林种子快速萌发被认为是一种逃避鼠类过度捕食的一种策略。由于萌发种子流失了营养,且不耐贮藏,因此鼠类通常优先取食萌发的种子、贮藏完好的种子,但调控种子萌发和鼠类贮藏行为的生理学机制仍不清楚。已知赤霉素(GA)和脱落酸(ABA)是调节种子萌发的重要植物激素;前者促进种子萌发,后者抑制种子萌发。由此,张知彬研究团队推测:(1)森林种子可以感知捕食风险;与完好种子相比,鼠类或人为破坏的种子萌发速度和比率都会增加,以逃脱鼠类的捕食,(2)对于被鼠类或人为破坏的种子,其赤霉素含量会显著增加,以加速种子萌发。(3)鼠类能够感知赤霉素或脱落酸(或其关联代谢产物气味)含量,从而鉴别和感知种子萌发状态,并决定其取食或贮藏行为对策。
研究团队以四川都江堰亚热带森林栓皮栎(Quercus variabilis)种子和小泡巨鼠(Leopoldamys edwardsis)贮藏行为互作体系为研究对象,检验了上述假设。栓皮栎是壳斗科栎属的植物,其种子不休眠,条件适宜就快速萌发,且萌发周期短。小泡巨鼠是当地森林生态系统优势鼠类之一,对栓皮栎种子具有取食和贮藏习性。首先,研究团队通过饲喂实验获取被部分取食的栓皮栎橡子,开展种子萌发实验,以明确了部分取食对种子萌发速率和比例的影响;然后通过吸水实验和植物激素定量测定实验,明确取食前后种子植物生理的变化。其次,通过开展不同浓度植物激素处理下的种子萌发实验,确定促进或延缓种子萌发速率的植物激素浓度;通过围栏和野外种子扩散实验,明确鼠类对于植物激素处理种子的取食或贮藏行为偏好性,以及检验这种偏好性是直接还是间接来源于植物激素。然后,通过提取橡子萌发前后、植物激素处理后橡子的气味,开展鼠类取食或贮藏行为偏好实验,以检验激素处理的种子气味是否影响鼠类的取食或贮藏行为偏好性。最后,通过利用固相微萃取提取测定种子萌发前后以及植物激素处理后的种子挥发性代谢化合物的变化,分析影响鼠类取食和贮藏行为的化合物成分。
研究发现:被鼠类部分取食后的橡子会显著增加赤霉素(GA)含量,加速吸水并缩短萌发时间(图 1)。鼠类更偏好贮藏脱落酸(ABA)处理过的和未萌发的橡子,偏好取食萌发的和GA处理过的橡子,在对应的气味人工种子扩散实验中的结论也是如此;这种处理差异在沸水灭活的橡子上消失了(图 2)。此外,还发现7种潜在气味化合物可能与种子萌发和鼠类取食或贮藏行为偏好有关。研究结果表明,森林种子在面临捕食风险时会迅速萌发,而鼠类则能识别种子的萌发状态以采取取食或贮藏行为策略;GA和ABA可能在调节森林种子萌发和鼠类贮藏行为的军备竞赛中发挥了关键作用。
该研究于2023年11月30日在新植物学家《New Phytologist》上在线发表,题目为“Plant hormones mediate the interaction between oak acorn germination and rodent hoarding behaviour”。中国科学院动物研究所农业虫害鼠害综合治理研究国家重点实验室博士研究生李英和助理研究员杨锡福为共同第一作者;中国科学院动物研究所农业虫害鼠害综合治理研究国家重点实验室、中国科学院生物互作卓越创新中心张知彬研究员为通讯作者。该研究得到了国家自然科学基金项目(32001123)和中国科学院战略先导项目(XDB11050300)的资助。
论文链接: http://doi.org/10.1111/nph.19424

图 1 (左图).被小泡巨鼠部分取食的和未萌发的栓皮栎橡子的萌发速率差异。a)累计萌发率, b)平均萌发时间, c) 根长。
图 1(右图). 被小泡巨鼠部分取食对栓皮栎橡子吸水速率和植物激素浓度的影响。a)吸水率, b)萌发比例(S0:完好橡子;S1:切除基部的橡子;S2:切除中基部的橡子;S3:去除种皮的橡子); c) 完好橡子(Intact acorns)和萌发种子(Germinated acorns)的植物激素浓度差别,d) 鼠类部分取食橡子(partially eaten by rodents)和人为部分剪掉萌发种子(partially damaged by scissors acorns)的植物激素浓度差别(GA:赤霉素;ABA:脱落酸;JA:茉莉酸;ACC:乙烯合成前体)。

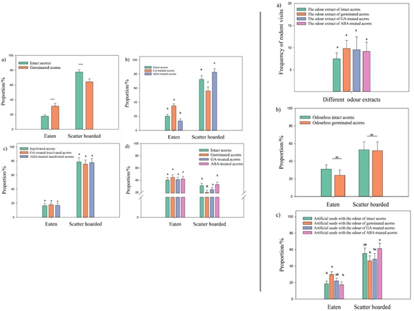
图 2(左图). 围栏和野外自然释放下不同萌发状态的栓皮栎橡子被鼠类取食和贮藏的比例差异。a)围栏内被小泡巨鼠取食和贮藏的萌发橡子和未萌发橡子的比例,b)围栏内被小泡巨鼠取食和贮藏的未萌发橡子、GA处理的种子和ABA处理的种子的比例,c)围栏内被小泡巨鼠取食和贮藏的灭活的(煮沸30分钟)的未萌发橡子、GA处理的种子和ABA处理的种子的比例,d)野外被啮齿动物取食和贮藏的未萌发橡子、萌发橡子、GA处理的橡子和ABA处理的橡子的比例。
图 2(右图). 小泡巨鼠对4种橡子气味的访问偏好差异以及围栏中被小泡巨鼠取食和贮藏的4种气味人工种子的比例差异。a)小泡巨鼠对4种橡子气味的访问偏好差异, b)围栏内被小泡巨鼠取食和贮藏的失去气味的萌发橡子和未萌发橡子的比例,c)围栏内被小泡巨鼠取食和贮藏的4种气味(未萌发橡子、萌发橡子、GA处理的橡子和ABA处理的橡子)人工种子的比例。
人类活动和气候变化加速生物多样性的减少,导致物种范围的转移、收缩和扩张。在全球范围内,人类活动和气候变化已对生物多样性构成了严重威胁,目前已导致全球522种灵长类动物中约68%的物种面临灭绝风险。
植物病毒素有“植物顽疾”之称,每年引起全球作物经济损失高达4000亿元。水稻作为人类重要的粮食作物之一,供给全世界一半以上的人口,主要种植于亚洲、非洲和南美洲等地区。

